חישוב שטח משושה משוכלל


הכניסו את נתוני המשושה משוכלל שלכם בסנטימטרים






התוצאה תוצג פה

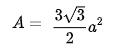
החישוב לפי צלע בלבד נעשה לפי הנוסחה למטה - לפירוט לחצו על הנוסחה


אפשר גם לחלק את המשושה ל6 משולשים שווים
ולחשב לפי נוסחת שטח משולש כפול 6

הנוסחה:



 מחשבוני שטחים :
מחשבון שטחים | שטח ריבוע | שטח מעגל | שטח עיגול | שטח טרפז | שטח כדור | שטח מלבן | שטח מקבילית | שטח משולש | שטח מעטפת גליל | שטח פנים גליל | שטח מעוין | שטח דלתון |
שטח עיגול לפי קוטר | שטח פנים של קוביה | שטח מעטפת קוביה | שטח פאה של קוביה | שטח משולש לפי 3 צלעות | שטח ריבוע לפי אלכסון | שטח אליפסה | שטח תיבה |

מחשבוני היקפים :
מחשבון היקפים | היקף מעגל | היקף ריבוע | היקף עיגול | היקף טרפז | היקף מחומש | היקף מלבן | היקף מקבילית | היקף משולש | היקף משושה |
היקף מתומן | היקף מעוין | היקף דלתון | היקף עיגול לפי קוטר | רדיוס לפי היקף | קוטר לפי היקף | היקף מרובע |