מחשבון שטח מעטפת של גליל
הכניסו את נתוני הגליל שלכם בסנטימטרים
חשבו לי שטח
איפוס נתונים
התוצאה תוצג פה
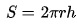
חישוב שטח מעטפת של גליל (בלי שני הבסיסים)
נוסחה לחישוב שטח מעטפת של גליל
לדוגמה:
אם הרדיוס הוא 1 והגובה הוא 2 אז שטח המעטפת הוא 12.57 בקירוב
מחשבון חישוב שטח גליל , רק מעטפת ללא הבסיסים
מחשבוני שטחים :
מחשבון שטחים
|
שטח ריבוע
|
שטח מעגל
|
שטח עיגול
|
שטח טרפז
|
שטח כדור
|
שטח מלבן
|
שטח מקבילית
|
שטח משולש
|
שטח מעטפת גליל
|
שטח פנים גליל
|
שטח מעוין
|
שטח דלתון
|
שטח עיגול לפי קוטר
|
שטח פנים של קוביה
|
שטח מעטפת קוביה
|
שטח פאה של קוביה
|
שטח משולש לפי 3 צלעות
|
שטח ריבוע לפי אלכסון
|
שטח אליפסה
|
שטח תיבה
|
מחשבוני היקפים :
מחשבון היקפים
|
היקף מעגל
|
היקף ריבוע
|
היקף עיגול
|
היקף טרפז
|
היקף מחומש
|
היקף מלבן
|
היקף מקבילית
|
היקף משולש
|
היקף משושה
|
היקף מתומן
|
היקף מעוין
|
היקף דלתון
|
היקף עיגול לפי קוטר
|
רדיוס לפי היקף
|
קוטר לפי היקף
|
היקף מרובע
|