מחשבון שטח משולש לפי 3 צלעות
חישוב שטח משולש לפי 3 צלעות - נוסחת הרון
הכניסו את נתוני המשולש שלכם בסנטימטרים
חשבו לי שטח
איפוס נתונים
התוצאה תוצג פה
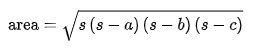
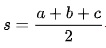
נוסחה לחישוב שטח משולש לפי 3 צלעות :
לדוגמה:
אם צלע אחת היא 3, השניה 4 והשלישית 5 אז שטח המשולש הוא 6
מחשבוני שטחים :
מחשבון שטחים
|
שטח ריבוע
|
שטח מעגל
|
שטח עיגול
|
שטח טרפז
|
שטח כדור
|
שטח מלבן
|
שטח מקבילית
|
שטח משולש
|
שטח מעטפת גליל
|
שטח פנים גליל
|
שטח מעוין
|
שטח דלתון
|
שטח עיגול לפי קוטר
|
שטח פנים של קוביה
|
שטח מעטפת קוביה
|
שטח פאה של קוביה
|
שטח משולש לפי 3 צלעות
|
שטח ריבוע לפי אלכסון
|
שטח אליפסה
|
שטח תיבה
|
מחשבוני היקפים :
מחשבון היקפים
|
היקף מעגל
|
היקף ריבוע
|
היקף עיגול
|
היקף טרפז
|
היקף מחומש
|
היקף מלבן
|
היקף מקבילית
|
היקף משולש
|
היקף משושה
|
היקף מתומן
|
היקף מעוין
|
היקף דלתון
|
היקף עיגול לפי קוטר
|
רדיוס לפי היקף
|
קוטר לפי היקף
|
היקף מרובע
|